Gustoća zraka

Gustoća zraka je masa zraka po jedinici obujma Zemljine atmosfere. Gustoća zraka se smanjuje s povećanjem nadmorske visine, budući se i tlak zraka smanjuje. Ona se mijenja i sa promjenom temperature i vlažnosti zraka. Gustoća zraka na razini mora i temperaturi zraka od 15 °C (međunarodna standardna atmosfera) je otprilike 1,22521 kg/m3.
Gustoća zraka brzo opada s nadmorskom visinom: prosječna je vrijednost pri tlu 1,295 kg/m3, na 1 kilometar visine 1,112 kg/m3, a na 5 kilometara visine gustoća zraka pada već na 0,736 kg/m3. S tim je u svezi i promjena tlaka zraka ovisno o visini: u prosjeku je pri tlu tlak zraka 1013 hPa, na 1 kilometar visine oko 900 hPa, na 5,5 kilometara visine 500 hPa. Na oko 16 kilometara visine tlak zraka iznosi 1/100 tlaka pri tlu, a na visini nešto ispod 50 kilometara 1/1000 tlaka zraka pri tlu, dok je gustoća zraka samo 0,001 kg/m³. Na visinama od nekoliko stotina kilometara zrak je toliko rijedak da pojedine molekule prijeđu put i od više stotina metara, pa i kilometara, prije negoli se sudare s drugom česticom, pa se zato, s obzirom na gustoću zraka, već i na tim visinama može govoriti o zrakopraznom prostoru; zbog toga se gornja granica atmosfere ne može precizno odrediti. [1]
Objašnjenje
Gustoća zraka ρ(z) dana je plinskom jednadžbom:
pa tada osnovna jednadžba statike fluida poprima diferencijalni oblik:
Rješenje te jednadžbe:
gdje je: Tv - virtualna temperatura, a p0 - tlak na visini z = 0.
Iz te se jednadžbe izvodi prilagođena brojčana relacija za izračunavanje visine, koja se zove Laplaceova barometarska jednadžba visine izražena u metrima:
gdje su: p0 i p - tlakovi na dnu i na vrhu zapažanog sloja zraka, izraženi u milibarima, tv - srednja vrijednost virtualne temperature sloja zraka izražena u Celzijevim stupnjevima, a α - toplinski koeficijent istezanja idealnog plina α = 1/273,15 °C.
Na jednak način se može izračunati omjer tlakova na dvjema visinama:
gdje je: srednja temperatura tog sloja zraka Tsr = 1/2 (T1 + T2). Tako se reducira tlak na razinu mora (p1 = p0 i z1 = 0), što je prijeko potrebno da bi se vrijednosti tlakova na meteorološkim stanicama različitih nadmorskih visina mogle međusobno uspoređivati. Pri tom se srednja temperatura zamišljenog sloja zraka Tx procjenjuje tako da za svakih 100 m spuštanja poraste za 10,5 °C, to jest: [2]
Međusobni odnosi
Temperatura i tlak
Gustoća zraka se može izračunati korištenjem jednadžbe stanja idealnog plina, u ovisnosti od temperature i tlaka:
gdje je: ρ - gustoća zraka, p – apsolutni tlak, Rsp – specifična plinska konstanta za suhi zrak i T – apsolutna temperatura (K). Specifična plinska konstanta za suhi zrak je 287,058 J/(kg•K) u SI jedinicama.
Kod standardnog tlaka 100 kPa i temperature 0 ºC, Međunarodna unija za čistu i primijenjenu kemiju definira gustoću zraka od 1,2754 kg/m3. Kod tlaka zraka od 101,325 kPa i temperature 20 ºC, gustoća zraka iznosi 1,2041 kg/m3.
Sljedeća tablica prikazuje gustoće zraka u ovisnosti od temperature, kod tlaka zraka od 1 atm ili 101,325 kPa.
| Temperatura (°C) | Brzina zvuka (m/s) | Gustoća zraka (kg/m3) | Akustična impedanca (N•s•m−3) |
|---|---|---|---|
| (+35) | 351,96 | 1,1455 | 403,2 |
| (+30) | 349,08 | 1,1644 | 406,5 |
| (+25) | 346,18 | 1,1839 | 409,4 |
| (+20) | 343,26 | 1,2041 | 413,3 |
| (+15) | 340,31 | 1,2250 | 416,9 |
| (+10) | 337,33 | 1,2466 | 420,5 |
| (+5) | 334,33 | 1,2690 | 424,3 |
| (0) | 331,30 | 1,2920 | 428,0 |
| (-5) | 328,24 | 1,3163 | 432,1 |
| (-10) | 325,16 | 1,3413 | 436,1 |
| (-15) | 322,04 | 1,3673 | 440,3 |
| (-20) | 318,89 | 1,3943 | 444,6 |
| (-25) | 315,72 | 1,4224 | 449,1 |
Vodena para
Sa povećanjem vodene pare u zraku ili vlažnosti zraka, smanjuje se gustoća zraka, što možda na prvi pogled ne izgleda logično. To se javlja zato što je molekularna masa vode (18 g/mol) manja od molekularne mase zraka (oko 29 g/mol). Prema Avogadrovom zakonu dva spremnika idealnog plina, sa jednakom temperaturom, tlakom i obujmom, sadrže jednak broj molekula. To znači, ako se broj molekula vode povećava u suhom zraku, onda se broj molekula suhog plina smanjuje. Kako su molekule vode lakše od molekula suhog zraka, onda će se ukupna gustoća zraka smanjiti.
Gustoća vlažnog zraka se može izračunati kao mješavina idealnih plinova. U tom slučaju, parcijalni tlak vodene pare se može izraziti kao tlak pare. Koristeći ovaj način, a greška proračuna je manja od 0,2%, u temperaturnom rasponu od −10 °C to 50 °C, gustoća vlažnog zraka iznosi:
gdje je:
- gustoća vlažnog zraka (kg/m3)
- parcijalni tlak suhog zraka (Pa)
- specifična plinska konstanta za suhi zrak, 287,058 J/(kg·K)
- temperatura (K)
- parcijalni tlak vodene pare (Pa)
- specifična plinska konstanta vodene pare, 461,495 J/(kg·K)
Parcijalni tlak vodene pare se može izračunati iz tlaka zasićenja vodene pare i relativne vlažnosti. Onda vrijedi:
gdje je:
- parcijalni tlak vodene pare
- relativna vlažnost
- tlak zasićenja vodene pare
Tlak zasićenja vodene pare kod određene temperature je tlak pare kada je relativna vlažnost 100%, i može se izraziti kao: [4]
Pažnja:
- Rezultat će biti u mbar (milibar), 1 mbar = 0,001 bar = 0,1 kPa = 100 Pa
- je parcijalni tlak, koji iznosi:
gdje je p apsolutni tlak promatranog sistema.
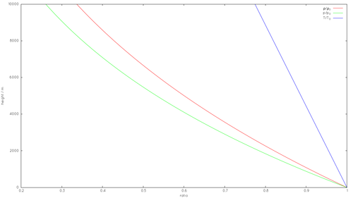
Nadmorska visina

Da bi se izračunala gustoća zraka kao funkcija nadmorske visine, potrebni su još neki dodatni parametri. Oni se vide ispod, prema međunarodnoj standardnoj atmosferi i koristeći univerzalnu plinsku konstantu umjesto specifične:
- standardni atmosferski tlak na razini mora p0 = 101325 Pa
- standardna temperatura na razini mora T0 = 288,15 K
- gravitaciono ubrzanje na površini Zemlje g = 9,80665 m/s2.
- temperaturni pad L = 0,0065 K/m
- univerzalna plinska konstanta R = 8,31447 J/(mol·K)
- molarna masa suhog zraka M = 0,0289644 kg/mol
Temperatura u ovisnosti od nadmorskoj visini h iznad razine mora se daje sljedećom formulom (vrijedi samo za troposferu):
Tlak na nadmorskoj visini h iznosi:
Gustoća zraka se može izračunati prema molarnom obliku jednadžbe stanja idealnog plina:
gdje je: M – molarna masa, R – univerzalna plinska konstanta i T – apsolutna temperatura (K)
Izvori
- ↑ atmosfera, [1] "Hrvatska enciklopedija", Leksikografski zavod Miroslav Krleža, www.enciklopedija.hr, 2015.
- ↑ "Tehnička enciklopedija" (Meteorologija), glavni urednik Hrvoje Požar, Grafički zavod Hrvatske, 1987.
- ↑ [2] "Equations - Air Density and Density Altitude"
- ↑ [3] "Algorithms - Schlatter and Baker"
- [4] "Reference manual for air density, density altitude, and grains of water"