Bifurkacijski dijagram
U matematici, posebno u dinamičkim sustavima, bifurkacijski dijagram pokazuje moguće dugoročne vrijednosti sustava kao funkciju.
Populacijska jednadžba

Populacijska jednadžba nastala je kao pokušaj matematičkog predviđanja mijenjanja populacije određene vrste (biljaka, životinja...) na određenom području kroz godine: . Konstanta r, koja može biti bilo koji racionalan broj između 0 i 4, naziva se kontrolnim parametrom i služi za reguliranje uvjeta preživljavanja (stupanj razmnožavanja, količina hrane, neprijatelja itd.), dok xn predstavlja omjer trenutnog i najvećeg mogućeg broja jedinki u n-toj godini (dakle, moguće su joj vrijednosti između 0 i 1). Ako bismo za vrijednost konstante r uzeli 2.5, te počeli od , vidjeli bismo da rješenja konvergiraju jednoj vrijednosti (0.6). Drugim riječima, ona čine atraktor perioda-1. Ponovimo li postupak s r = 3.3, vidjet ćemo da rješenja naizmjenično konvergiraju dvijema vrijednostima (0.479427 i 0.823603), odnosno čine atraktor perioda-2. Tako se za različite vrijednosti r dobivaju atraktori perioda-4, perioda-8, perioda-16 itd. No, ako uzmemo r = 3.79, dobit ćemo potpuno kaotična rješenja.

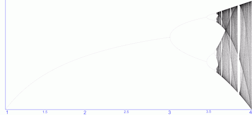
Dosad smo crtali dijagrame, prikazujući kretanje populacije kroz vrijeme, posebno za različite vrijednosti r. Nacrtajmo sada dijagram da bismo vidjeli kako se rješenja mijenjaju za određene vrijednosti r. Za svaki r nacrtat ćemo u y-smjeru sva rješenja za 2000 < n < 4000. Prvih 2000 iteranada ne uzimamo jer, kao što smo vidjeli, kod atraktorâ određenog perioda rješenja poprimaju određene vrijednosti tek nakon nekog vremena. Takav se graf naziva bifurkacijskim dijagramom. Za r < 1 sve su vrijednosti jednake nuli, što znači da će populacija izumrijeti. U području 1 < r < 3 sve su točke sažete u jednu liniju, dakle rješenja konvergiraju jednoj vrijednosti. U 3 < r < 3.4 graf se račva, što znači da za te vrijednosti r rješenja konvergiraju dvijema vrijednostima. Za r > 3.79 ne vidimo nikakve logičnosti, odnosno vidimo da su rješenja kaotična, ne konvergiraju nijednom rješenju.
Fraktalna svojstva
Ovaj dijagram sadrži fraktalna svojstva, jer se na nekim dijelovima crta dijagrama račva ponovno i ponovno. Izračun fraktalne dimenzije je vrlo složen, a pretpostavlja se da je jednak , gdje je δ Feigenbaumova konstanta, δ = 4.669201609102990671...
