Stehiometrija (grč. "stoicheion" element i "metrija" mjerenje) je primijenjena matematika u kemiji kojom računamo omjere brojeva atoma pojedinih elemenata u kemijskom spoju odnosno omjere množine spojeva u jednadžbi kemijske reakcije.[1]
Stehiometrija je primjena matematike u kemiji kojom možemo određivati molekularne formule kemijskih spojeva na temelju njihove kvantitativne analize, postavljati jednadžbi kemijskih reakcija i izračunavati količine tvari koje sudjeluju, odnosno nastaju u kemijskim reakcijama.[2]
Stehiometrija (grč.), grana kemija koja proučava kvantitativne odnose kem. spojeva (mase, volumene, množine) u procesima u kojima reaktanti prelaze u produkte. U stehiometrijske zakone mogu se ubrojiti i plinski zakoni, kao i zakoni elektrokemije i termodinamike.[3]
Temelji stehiometrije
Stehiometrija se temelji na prirodnim zakonima kemije i fizike:[4]
- zakon očuvanja masa (1785., Antoine Lavoisier)
- zakon stalnih omjera masa, (1799., Joseph Proust)
- zakon umnoženih omjera masa (1802., John Dalton)
- zakon stalnih volumnih omjera (1805., Louis Gay-Lussac)
- plinski zakoni
- zakoni elektrokemije
- zakoni termodinamike
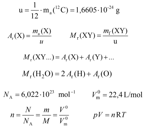
Najčešće fizikalne veličine (bez osnovnih), mjerne jedinice i matematički izrazi u stehiometriji [5]

| Fizikalna veličina | simbol | mjerna jedinica |
| relativna atomska masa | bez jedinice | |
| relativna molekulska masa | bez jedinice | |
| masa atoma | ||
| masa molekule | ||
| množina | ||
| množinska koncentracija | ||
| molna masa | ||
| molni volumen | ||
| brojnost | bez jedinice | |
| Avogadrova konstanta | ||
| atomska jedinica mase | ||
| plinska konstanta |
Primjena stehiometrije - sastav smjesa tvari
Pod smjese tvari najčešće podrazumijevamo otopine koje su smjese otopljene tvari i otapala. Sastav smjesa možemo izražavati (definirati) omjerima, udjelima i koncentracijama.
- Omjer dviju vrijednosti neke veličine (mase, volumena ili množine) dviju sastojaka neke smjese (A i B) pokazuje koliko puta jedna vrijednost sadrži drugu. Omjer vrijednosti A i B piše se kao A : B. Omjer nema mjernu jedinicu.
- Udio jedne vrijednosti neke veličine (mase, volumena ili množine) u zbroju svih vrijednosti te veličine u smjesi (smjesa=100%) je omjer vrijednosti te veličine i zbroja svih vrijednosti veličina cjelokupne smjese. Udio vrijednosti A u vrijednosti smjese AB pišemo:
Udio vrijednosti A u smjesi AB nema mjernu jedinicu, to je broj < 1 i izražava se kao postotak (%).
- Koncentraciju neke tvari dobivamo dijeleći njezinu količinu (masu m, volumen V ili množinu n) sa ukupnim volumenom u kojem se ta tvar nalazi:
Povijesna crtica
Jeremias Benjamin Richter (1762-1807) prvi je postavio načela stehiometrije. 1792. on je napisao:
Stehiometrija je znanost o mjerenju kvantitativnih masenih ili volumnih omjera kemijskih elemenata u spojevima i kemijskim reakcijama.[6]
Izvori
- ↑ [1] Institut za Hrvatski Jezik i Jezikoslovlje, Struna: Stehiometrija
- ↑ [2] Hrvatska enciklopedija, Stehiometrija
- ↑ [3] LZMK: Proleksis enciklopedija, Stehiometrija
- ↑ Sikirica, Korpar, Čolig: Kemija s vježbama 1, Školska knjiga, Zagreb, 2000., ISBN 953-0-20540-6, str. 47-50
- ↑ Habuš, Tomašić, Liber: Opća kemija 1: Udžbenik kemije za prvi razred gimnazije, 1. izd., Profil, Zagreb, 2014., ISBN 978-953-12-1434-6, str. 44-45, 132-142
- ↑ [4] Chemteam: Stoichiometry